是否有一種天然且安全的方法能夠緩解銀屑病患者的痛苦?西南大學與重慶市永川區中醫院的研究團隊的最新研究可能為這一難題提供了答案,他們從川續斷屬植物根部提取的多糖,不僅展現了顯著的抗炎活性,還可能通過調節關鍵的免疫信號通路,為銀屑病治療開辟新途徑。
導語:是否有一種天然且安全的方法能夠緩解銀屑病患者的痛苦?西南大學與重慶市永川區中醫院的研究團隊的最新研究可能為這一難題提供了答案,他們從川續斷屬植物根部提取的多糖,不僅展現了顯著的抗炎活性,還可能通過調節關鍵的免疫信號通路,為銀屑病治療開辟新途徑。
隨著現代社會生活節奏的加快,銀屑病作為一種慢性炎症性皮膚病,正影響著全球約2%~3%的人口。銀屑病不僅給患者帶來身體上的不適,還嚴重影響了他們的心理健康和社會交往。傳統的生物製劑和小分子藥物雖然在一定程度上緩解了銀屑病症狀,但長期用藥的嚴重副作用令人擔憂。因此,顯得尤為重要。
在追求一種既有效又安全的銀屑病治療策略的驅動下,西南大學聯合重慶市永川區中醫院的研究團隊采用精細的提取與純化技術,從川續斷屬植物(Saussurea costus)根部成功分離出一種新型水溶性多糖,命名為PSCP,並顯示其對於銀屑病的治療有獨特價值。

這項研究發表在Carbohydrate Polymers雜誌,題為“Structural Elucidation and Anti-psoriasis Activity of ANovel Polysaccharide from Saussurea Costus”。
首先,研究者們通過高效凝膠滲透色譜(HPGPC)、傅裏葉變換紅外光譜(FT-IR)、高效液相色譜-蒸發光散射檢測器(HPLC-ELSD)、氣相色譜-質譜(GC-MS)、核磁共振(NMR)、原子力顯微鏡(AFM)和掃描電子顯微鏡(SEM)等先進技術手段,對PSCP的化學組成、分子質量和單糖組成進行了詳細的結構解析。
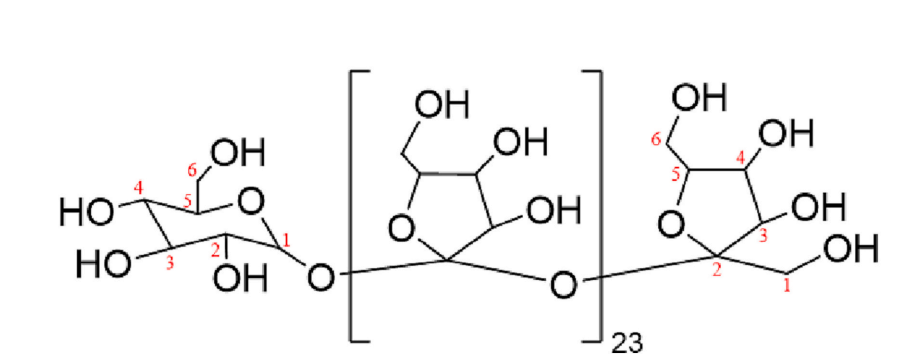
最終確定,PSCP的分子量為4131 Da,主要由1-α-D-Glcp-(-2-β-D-Fruf-1-)23-2-β-D-Fruf組成(圖1),且通過HPGPC分析顯示PSCP具有較高的均一性。

圖1 PSCP的預測結構
PSCP對銀屑病症狀的改善作用
為判斷PSCP對銀屑病的作用,研究者通過IMQ軟膏誘導,構建了的銀屑病小鼠模型。隨後,小鼠被隨機分為三組:模型組(僅IMQ)、PSCP治療組(200 mg/kg)和MTX(Methotrexate,甲氨蝶呤,作為陽性對照)組(1 mg/kg)。PSCP和MTX治療組通過口服給藥,連續六天,而對照組和模型組則給予生理鹽水。
結果顯示,與模型組相比,PSCP治療組的皮膚紅斑、鱗屑和厚度分別有顯著改善,PASI得分也從模型組的顯著高分降至接近正常水平。這些結果表明,PSCP能夠有效緩解銀屑病的症狀,為銀屑病的治療提供了一種潛在的有效手段(圖2)。
注:(A)IMQ誘導的銀屑病樣小鼠在經過PSCP和MTX治療後的背部皮膚表型表現。(B)每隔一天對紅斑、(C)鱗屑和(D)皮膚厚度進行定量嚴重程度評估,評分標準為0至4分;(E)每隔一天對背部皮膚的PASI(銀屑病麵積和嚴重程度指數)進行評分,評分標準為0至12分。

圖2 PSCP改善了IMQ誘導的銀屑病樣小鼠的症狀
PSCP對炎症因子表達的影響
在治療結束後,研究收集小鼠的血液和皮膚樣本。血液樣本用於測定血清中的炎症因子,而皮膚樣本則用於進一步的分子層麵分析。
通過ELISA測定血清中炎症因子結果顯示,與對照組相比,模型組小鼠血清中的炎症因子IL-6、IL-1β、TNF-α、IL-23和IL-17A的水平顯著升高,這與銀屑病的炎症特性相符。而經PSCP治療後,這些炎症因子的水平顯著下降,表明PSCP具有顯著的抗炎作用。
對皮膚樣本進行蛋白質提取,並使用Western blot分析進一步證實了ELISA的結果,顯示PSCP治療能夠顯著降低皮膚組織中TNF-α、IL-6和IL-1β等炎症因子的蛋白表達水平。
PSCP對MAPK信號通路的調控作用
研究者同時提取了小鼠皮膚組織RNA,通過RNA-Seq數據分析,研究人員發現PSCP處理能夠顯著影響與MAPK信號通路相關的基因表達。進一步的Western blot分析結果表明,PSCP能夠有效抑製JNK、ERK和p38等MAPK家族成員的磷酸化水平。
這些激酶在細胞應激反應和炎症過程中發揮著核心作用,其激活可導致轉錄因子AP-1(包含c-fos和c-jun)的激活,進而促進炎症因子的表達。PSCP通過抑製這些激酶的活性,減少了AP-1的激活,從而降低了炎症因子的表達,表明PSCP可能通過調控MAPK信號通路來發揮其抗炎作用。
PSCP治療的安全性和有效性
在對PSCP治療的安全性和有效性進行評估時,研究顯示,PSCP治療組小鼠的體重沒有明顯變化,而脾髒指數(Spleen Index,用來評估脾髒相對大小和質量的指標)則有顯著降低,表明PSCP具有較好的安全性和抗炎效果。此外,通過H&E染色觀察到的組織病理學變化也得到了顯著改善,進一步證實了PSCP對銀屑病症狀的改善作用。
PSCP的獨特價值
相較於其他研究,本研究的獨特之處在於從傳統草本植物Saussurea costus中提取並純化出具有抗銀屑病活性的多糖PSCP。PSCP的結構明確,且分子量適中,這為其作為藥物開發提供了重要的基礎。此外,PSCP通過抑製MAPK信號通路,減少了炎症因子的表達,這為銀屑病的病理機製提供了新的見解。PSCP的發現不僅為銀屑病患者提供了一種潛在的新療法,也為未來的藥物開發和銀屑病的治療策略提供了新的方向。
參考文獻
GONG X, ZHANG Z, SHI X, et al. Structural elucidation and anti-psoriasis activity of a novel polysaccharide from Saussurea Costus[J]. Carbohydr Polym,2024, 333:121963. DOI: 10.1016/j.carbpol.2024.121963.
copyright©醫學論壇網 版權所有,未經許可不得複製、轉載或鏡像
京ICP證120392號 京公網安備110105007198 京ICP備10215607號-1 (京)網藥械信息備字(2022)第00160號